8(846) 201-222-5

Новости компании

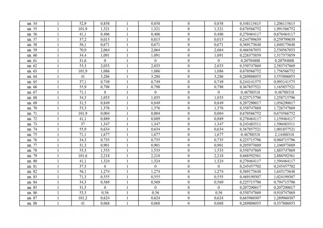
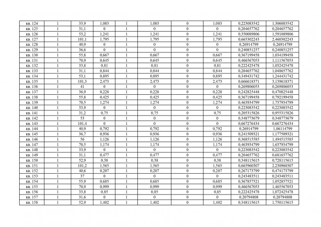
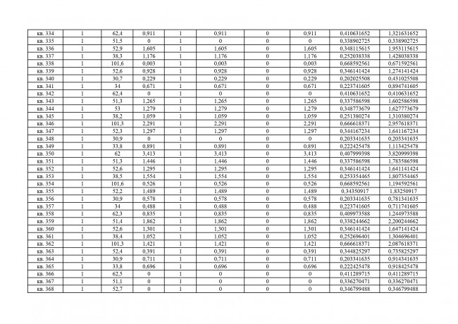
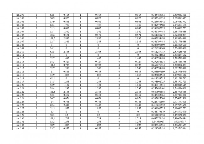
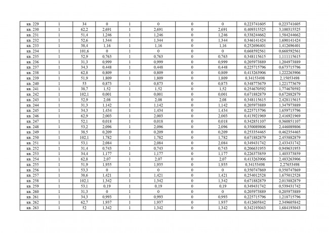
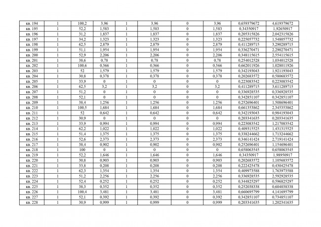
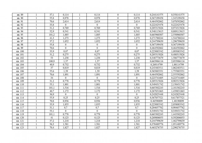
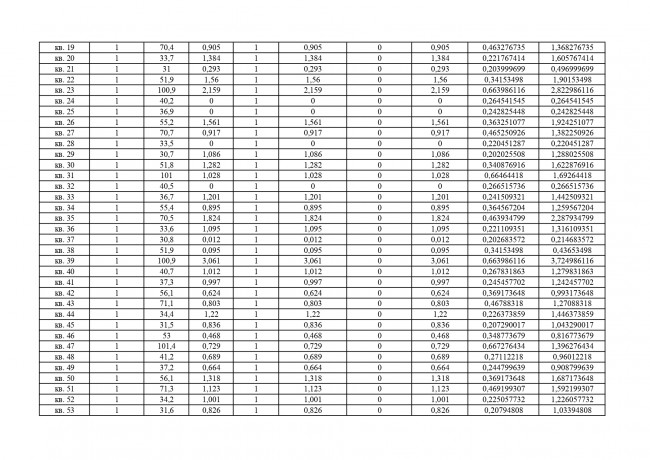
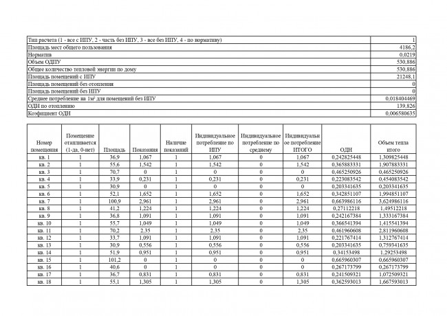
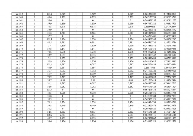
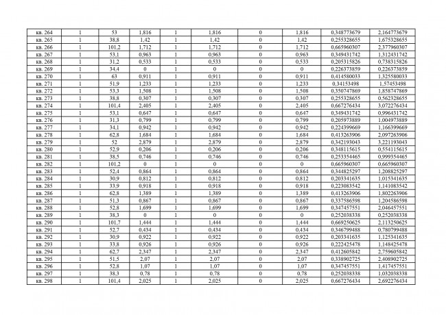
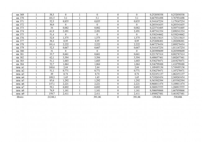
Расчет услуги отопления 4-ый проезд д. 67Б ( Февраль 2026)

02.03
2026

Назад

Для улучшения работы сайта и его взаимодействия с пользователями мы используем файлы cookie. Продолжая пользоваться сайтом, вы соглашаетесь с использованием файлов cookie и выражаете своё согласие на обработку ваших персональных данных с использованием сервиса веб-аналитики. Вы всегда можете отключить файлы cookie в настройках браузера. Оператор использует информацию, содержащуюся в файлах cookie в течение сроков и на условиях, указанных в настоящей Политике и Согласии